?
Вопросы ценообразования на лекарственные средства по-прежнему остаются в числе наиболее актуальных для большинства наших читателей. Статья, посвященная сравнительному анализу цен на препараты эналаприла, которая была опубликована в одном из декабрьских номеров «Еженедельника АПТЕКА», и последовавшие за ней широкие отклики подтвердили повышенный интерес отечественной фармацевтической общественности к такого рода информации. Именно поэтому рубрика «Анализ цен» будет постоянной — отныне в каждом номере нашей газеты вы сможете найти подробное описание ситуации на рынках различных препаратов.
Сегодняшняя публикация посвящена анализу цен на препараты ранитидина в таблетках по 150 мг.
Методология
В настоящее время на отечественном фармацевтическом рынке представлены препараты ранитидина в форме таблеток по 150 и 300 мг, раствор для инъекций 25 мг/мл в ампулах по 2 мл, растворимые таблетки по 150 мг и таблетки, покрытые оболочкой, по 150 и 300 мг. Выбор в качестве предмета анализа препаратов в форме таблеток по 150 мг (с учетом таблеток, покрытых оболочкой) обусловлен наибольшей распространенностью препаратов ранитидина в этой лекарственной форме. Так, по данным, опубликованным в «Еженедельнике АПТЕКА» и обобщенным с помощью информационно-поисковой системы «Лекарственные средства», в 1999 году дистрибьюторские фирмы предлагали к реализации препараты ранитидина в форме таблеток по 150 мг 13 различных производителей. В то же время раствор для инъекций в ампулах на отечественный фармацевтический рынок страны поставляют 4 компании-производителя.
При анализе использована средняя стоимость одной таблетки (150 мг) каждого наименования лекарственного средства, рассчитанная на основании цен оптовых фирм-дистрибьюторов за 1 упаковку данного препарата. Все цены даны в пересчете на условные единицы по курсу НБУ на момент опубликования.
Расстановка сил
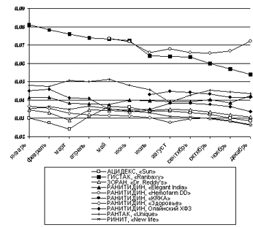
![]() |
Рисунок. Динамика средних цен (в у.е.) на препараты ранитидина (табл. по 150 мг) в 1999 г.
? |
Диапазон цен на препараты ранитидина в форме таблеток по 150 мг можно подразделить на три уровня (рисунок).
Ценовым лидером рынка является оригинальный препарат ЗАНТАК британской фармацевтической компании «Glaxo Wellcome». Следует отметить, что средняя стоимость этого лекарственного средства в течение года (около 0,32 доллара США) почти в 5 раз превышала аналогичный показатель для препаратов среднего ценового уровня. Доминирование ЗАНТАКА в высшей ценовой категории сделало спрос на него относительно неэластичным по цене. Другими словами, незначительное изменение стоимости в ту или иную сторону практически не влияет на объем продаж этого лекарственного препарата. Слабая конкуренция в верхнем ценовом уровне позволила производителю и дистрибьюторам удерживать стабильные цены на препарат ЗАНТАК в течение года. Некоторое снижение цен на него обусловлено, во-первых, посткризисными процессами, в результате которых стоимость ЗАНТАКА в гривневом выражении увеличилась менее, чем курс доллара по отношению к курсу гривни в январе — апреле, а во-вторых, несколько запоздалой реакцией оптовых фирм на финансово-экономическую нестабильность в III квартале минувшего года.
В то же время стоимость препарата РАНИБЕРЛ-150, который наряду с ЗАНТАКОМ относится к высшей ценовой категории, снижалась в течение всего года и в декабре составила 2/3 от цены в начале минувшего года.
Второй эшелон
Второй ценовой уровень образуют 2 препарата — ГИСТАК производства компании «Ranbaxy» и РАНИТИДИН («Hemofarm DD», Югославия), причем лекарственное средство югославского производства появилось на рынке только в конце II квартала 1999 г.
Конкуренция среди препаратов этого ценового уровня невысока — бoльшую часть рынка препаратов ранитидина этой ценовой группы занимает ГИСТАК. Разрыв цен в долларовом выражении в конце года (стоимость препарата ГИСТАК несколько снизилась, а цена препарата-конкурента осталась на прежнем уровне), по всей видимости, был временным явлением, отчасти обусловленным резкими изменениями валютного курса в IV квартале.
?
Таблица 1
Количество дистрибьюторских фирм, размещавших предложения о продаже препаратов ранитидина, табл.? по 150 мг
|
Название препарата, фирма-производитель |
Число дистрибьюторов по месяцам |
В среднем за год |
|||||||||||
|
Январь |
Февраль |
Март |
Апрель |
Май |
Июнь |
Июль |
Август |
Сентябрь |
Октябрь |
Ноябрь |
Декабрь |
||
| АЦИДЕКС, “Sun” |
5 |
4 |
5 |
5 |
6 |
6 |
5 |
5 |
6 |
5 |
9 |
6 |
6 |
| ГИСТАК, “Ranbaxy” |
10 |
10 |
9 |
10 |
11 |
11 |
13 |
14 |
13 |
10 |
10 |
12 |
11 |
| ЗАНТАК, “Glaxo Wellcome” |
6 |
7 |
8 |
8 |
8 |
11 |
9 |
10 |
10 |
8 |
7 |
7 |
8 |
| ЗОРАН, “Dr. Reddy’s” |
6 |
6 |
5 |
6 |
7 |
6 |
6 |
6 |
6 |
6 |
6 |
8 |
6 |
| РАНИБЕРЛ, “Berlin-Chemie” |
10 |
9 |
10 |
9 |
10 |
9 |
8 |
9 |
7 |
7 |
8 |
7 |
9 |
| РАНИТИДИН, “Elegant India” |
4 |
5 |
7 |
8 |
8 |
8 |
8 |
8 |
6 |
5 |
8 |
9 |
7 |
| РАНИТИДИН, “Hemofarm DD” | ? | ? | ? | ? |
1 |
1 |
1 |
1 |
1 |
1 |
1 |
1 |
1 |
| РАНИТИДИН, “KRKA” | ? | ? | ? | ? | ? | ? |
3 |
5 |
6 |
7 |
6 |
6 |
6 |
| РАНИТИДИН, “Здоровье” |
18 |
15 |
16 |
23 |
23 |
19 |
19 |
16 |
18 |
22 |
21 |
15 |
19 |
| РАНИТИДИН, Олайнский ХФЗ |
4 |
2 |
3 |
2 |
1 |
1 |
2 |
3 |
3 |
4 |
4 |
2 |
3 |
| РАНТАК, “Unique” |
4 |
5 |
3 |
5 |
6 |
5 |
5 |
6 |
8 |
8 |
7 |
7 |
6 |
| РИНИТ, “New life” |
10 |
9 |
10 |
19 |
21 |
22 |
21 |
22 |
21 |
16 |
15 |
17 |
17 |
Препарат компании «Ranbaxy» достаточно популярен среди дистрибьюторских фирм. В табл. 1 представлены данные о количестве оптовых компаний, размещавших предложения о продаже препаратов ранитидина в форме таблеток по 150 мг в прайс-листах «Еженедельника АПТЕКА». РАНИТИДИН («Hemofarm DD») в минувшем году предлагали к продаже 1–2 дистрибьюторские компании, в то время как ГИСТАК — 11 компаний (в среднем за год), причем в отдельные месяцы их количество достигало 14, что объясняется высокой маркетинговой активностью, ресурсным потенциалом, опытом работы фирмы «Ranbaxy» на фармацевтическом рынке Украины.
Главное — низкая цена
Наиболее жесткая конкуренция развернулась среди препаратов ранитидина, имеющих невысокую цену. Только РАНТАК («Unique») и РАНИТИДИН («KRKA») стоимость которых колебалась в пределах 0,043–0,046 доллара США, несколько выделялись среди конкурентов. Кстати, если уровень цен на препараты среднего ценового уровня несколько снизится, то вполне вероятно образование нового ценового коридора, в который помимо двух упомянутых препаратов войдут также ГИСТАК и РАНИТИДИН («Hemofarm DD») Что же касается шести других лекарственных средств — ЗОРАН («Dr. Reddy’s», Индия), РАНИТИДИН («Elegant India», Индия), АЦИДЕКС («Sun», Индия), РИНИТ («New life», Индия), РАНИТИДИН (ФФ «Здоровье», Украина) и РАНИТИДИН (Олайнский ХФЗ, Латвия) — то, как видно из рисунка, линии цен расположены очень плотно, то есть производители этих препаратов жестко конкурируют между собой. Любое повышение стоимости одного из упомянутых выше препаратов может привести либо к резкому снижению объемов его продаж, либо к коррекции цен на все препараты этой группы в сторону увеличения (в том случае, если компания, чуть повысив цену на свой препарат, сумеет с помощью активного маркетинга и других мер увеличить долю рынка, занимаемого данным препаратом). Однако вероятность существенных скачков цен как вверх, так и вниз в этой группе препаратов весьма и весьма незначительна.
Цены снижаются — цены остаются стабильными
В целом динамика цен на анализируемые препараты ранитидина носит двойственный характер. С одной стороны, снижение средних цен в долларовом эквиваленте у поставщиков с января 1999 г. по декабрь того же года составило 17,7% (табл. 2), при этом наибольшую «лепту» в величину этого показателя внесли препараты ГИСТАК (33,6%) и РАНИБЕРЛ-150 (34,7%). С другой стороны, расстановка сил на рынке препаратов ранитидина определена. Осуществляя продвижение препаратов, компании должны учитывать сложившийся расклад цен.
?
Таблица 2
Изменение средних цен, в у.е. на препараты ранитидина в декабре 1999 г. по сравнению с январем 1999 г.
|
Название препарата, фирма-производитель |
АЦИДЕКС, “Sun” |
ГИСТАК, “Ranbaxy” |
ЗАНТАК, “Glaxo Wellcome” |
ЗОРАН, “Dr. Reddy’s” |
РАНИБЕРЛ, “Berlin-Chemie” |
РАНИТИДИН, “Elegant India” |
РАНИТИДИН, “Здоровье” |
РАНИТИДИН, Олайнский ХФЗ |
РАНТАК, “Unique” |
РИНИТ, “New life” |
В среднем за год |
|
Изменение, % |
-4,7 |
-33,6 |
-6,6 |
-11,3 |
-34,7 |
2,4 |
-28,3 |
-24,7 |
-9,7 |
-25,5 |
-17,7 |
Денис Олейников
|
СПРАВКА |
|
|

Рисунок. Динамика средних цен (в у.е.) на препараты ранитидина (табл. по 150 мг) в 1999 г.
Коментарі
Коментарі до цього матеріалу відсутні. Прокоментуйте першим