
— Что, по вашему мнению, легло в основу создания концептуального подхода к внедрению системы референтного ценообразования на украинском фармацевтическом рынке?А.С.: В качестве исходных предпосылок мы рассмотрели соотношение общих издержек на систему здравоохранения и показателей смертности населения. Данные официальной статистики указывают на перманентное сокращение численности населения нашей страны, несмотря на многократное увеличение частных и государственных расходов (рис. 1). Очевидно, что определенную долю в этих расходах занимают лекарственные средства, а повышение их стоимости (рис. 2) соответствующим образом отражается на общем увеличении расходов.



Дальнейший анализ динамики и структуры смертности (рис. 3) показал, что приоритетным направлением внедрения механизмов референтного ценообразования может стать лечение прогрессирующих заболеваний сердечно-сосудистой системы, которые аккумулируют львиную долю в структуре смертности населения Украины — 67% по итогам 2010 г. (для сравнения в 2005 г. этот показатель составлял 63%).
В Руководстве по кардиологии под редакцией В.М. Коваленко («МОРИОН», 2009) отмечено, что одним из наиболее распространенных заболеваний сердечно-сосудистой системы является артериальная гипертензия. Так, согласно указанному источнику, в 2007 г. в Украине насчитывалось 13 млн пациентов, с этой патологией. Значительная часть из них — малообеспеченные и социально незащищенные граждане. В этом контексте внедрение механизма референтного ценообразования именно в сегменте социально значимых лекарственных средств для лечения артериальной гипертензии является обоснованным.
А.С.: По сути, во всем мире референтное ценообразование — элемент системы государственного возмещения расходов на лекарственные средства, призванный, во-первых, оптимизировать эти расходы посредством определения экономически обоснованного уровня возмещения стоимости для каждой группы лекарственных средств, включенных в перечень реимбурсируемых. А во-вторых — увеличить количество граждан, в первую очередь малообеспеченных и социально незащищенных, получающих адекватную медикаментозную помощь.
В настоящий момент полноценная система возмещения расходов на лекарственные средства в Украине отсутствует. Пока есть только ее элементы, связанные с бесплатным или льготным отпуском лекарственных средств по рецептам врачей в случае амбулаторного лечения отдельных групп населения и по определенным категориям заболеваний. Однако существующая динамика роста цен указывает на целесообразность скорейшего внедрения эффективных мер, направленных на недопущение неоправданного завышения стоимости лекарственных средств для конечного потребителя. Одной из таких мер может стать сравнение цен на идентичные или подобные лекарственные средства в сопредельных странах и/или на внутреннем рынке, что заложено в основу референтного ценообразования большинства европейских стран, где функционирует система реимбурсации.
Поэтому целями внедрения механизмов референтного ценообразования на данном этапе мы видим следующие:
1. Недопущение дальнейшего неоправданного завышения цен на лекарственные средства в сегменте социально значимых лекарств для лечения артериальной гипертензии.
2. Расширение экономической доступности современных генерических препаратов для большинства пациентов с диагнозом «гипертоническая болезнь» и, в первую очередь, для малообеспеченных и социально незащищенных граждан.
3. Формирование основы для последующего внедрения государственной системы реимбурсации путем апробирования ее ключевых составляющих в реальных рыночных условиях.
Конечные же цели — это укрепление здоровья наших граждан, формирование полноценной системы реимбурсации и укрепление позиций государства в качестве полноправного игрока на фармацевтическом рынке.
А.С.: Наряду с детальным изучением европейских подходов к регулированию цен на лекарственные средства мы проанализировали украинский фармацевтический рынок. В межрегиональном контексте его масштабы значительно уступают другим развитым рынкам, тем не менее, его привлекательность для мультинациональных фармкомпаний определяется высокой динамикой развития (рис. 4). Суммарный объем украинского рынка лекарственных средств (розничный + госпитальный сегмент) по итогам 2011 г. составил 27 млрд грн. (3,4 млрд дол. США) за 1,4 млрд упаковок. При этом драйвером развития рынка является розничный сегмент, тогда как участие государства в финансировании лекарственного обеспечения населения в Украине посредством госпитальных закупок составило в 2011 г. лишь 13,9% в денежном и 12,5% в натуральном выражении.

Учитывая уровень платежеспособного спроса на украинском фармрынке доминируют генерические препараты, при этом инновационным лекарственным средствам обеспечен свободный доступ на рынок.
В рамках нашего подхода к референтному ценообразованию, в сегменте генериков условно были выделены брэндированные генерики (препараты, которые поставляются на рынок под торговыми наименованиями производителей) и генерические генерики (препараты, которые присутствуют на рынке под международными непатентованными наименованиями — МНН).
Анализ рыночных ниш для генерических генериков свидетельствует, что они характеризуются практически совершенной конкуренцией где присутствует большое количество как покупателей, так и производителей, никто не может диктовать условия купли/продажи, а основным двигателем спроса и предложения является снижение цены.
Особенность оборота брэндированных генериков на любом фармацевтическом рынке, в том числе и на украинском, состоит в том, что при одинаковой терапевтической эффективности с генерическим генериком препарат реализуется под торговым наименованием (брэндом) компании-производителя. То есть, в стоимости препарата заложена значительная доля издержек, покрывающая продвижение препарата на рынке (расходы на рекламу, содержание штата медицинских представителей, различного вида издержки на продвижение препарата среди врачей, фармацевтических работников и т.д.), которые, в конечном итоге, ложатся на плечи потребителя. С одной стороны, это значительно повышает стоимость брэндированного генерика, что сказывается на его экономической доступности для населения. С другой — это позволяет фармпроизводителю дополнительно зарабатывать, а значит, развивать свой научный, производственный и рыночный потенциал (в контексте выведения новых лекарственных продуктов, поиска рыночных ниш, новых научных разработок, создания новых рабочих мест, увеличения удельного веса на рынке и т.д.).
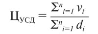
В.Б.: Для формирования методики ценообразования на основании нынешней ценовой ситуации в розничном сегменте фармацевтического рынка Украины в качестве базового показателя была принята установленная суточная доза (далее — УСД) потребления лекарственного средства, рекомендованная ВОЗ, так называемая DDD. УСД определяется для конкретной молекулы действующего вещества с учетом формы выпуска. При этом назначение дозировки лекарственного средства для суточного потребления в каждом индивидуальном случае может варьировать и отличаться от УСД в зависимости от возраста, массы тела пациента, а также фармакокинетических особенностей препарата, что обусловливает наличие на рынке лекарственных средств с широким диапазоном дозировок действующего вещества для одной и той же молекулы. Поэтому для корректности расчетов в рамках нашего подхода за основу был принят именно показатель УСД с целью приведения референтного уровня цен на лекарственные средства с различными дозировками и номерами упаковок и, соответственно, варьирующей стоимостью к «единому знаменателю».
Что касается непосредственно выбора препаратов, для которых был проведен анализ текущей ценовой ситуации на рынке, то за основу была принята система МНН для фармацевтических субстанций ВОЗ. Как уже было отмечено, механизм референтного ценообразования отрабатывали для препаратов, применяемых при артериальной гипертензии.
В соответствии с рекомендациями ВОЗ, Европейской ассоциации кардиологов, а также Украинской ассоциации кардиологов, для лечения артериальной гипертензии применяют такие препараты I ряда: блокаторы рецепторов ангиотензина ІІ; диуретики; блокаторы бета-адренорецепторов; антагонисты кальция.
На основании данных аналитической системы исследования рынка «PharmXplorer»/«Фармстандарт» компании «Proxima Research» была проанализирована структура розничного потребления этих лекарственных средств на украинском фармрынке с целью определения наиболее широко применяемых препаратов. Следует отметить, что анализировали структуру потребления по количеству потребляемых УСД и средневзвешенную стоимость 1 УСД монокомпонентных препаратов в разрезе АТС-классификации 2-го уровня.
Кроме того, важно понимать, что референтное ценообразование целесообразно использовать для генерических лекарственных средств с доказанной клинической эффективностью или полученными данными по их эквивалентности референтному препарату.
Математический аппарат для расчета внутренних и внешних референтных цен предельно прост.
Средневзвешенная стоимость установленной суточной дозы, рекомендуемой ВОЗ, для генериков, присутствующих на украинском рынке в определенной группе лекарственных средств с идентичными действующим веществом и дозировкой (то есть внутренняя референтная цена) рассчитывается по формуле:
где:
i ∈ [1,n] — количество присутствующих на рынке товарных позиций генериков в группе препаратов с идентичным действующим веществом и дозировкой, независимо от количества единиц препарата в упаковке (№ упаковки);
v i — объем продаж i-й товарной позиции генерика на рынке за определенный период (год, квартал, месяц) в денежном выражении, грн./период;
d i — количество потребленных доз (установленных суточных доз согласно рекомендациям ВОЗ) той же i-й товарной позиции генерика на рынке за соответствующий период, доз/период;
Σ n i=1 v i — суммарный объем продаж всех n-товарных позиций присутствующих на рынке генериков за определенный период в денежном выражении, грн./период;
Σ n i=1 d i — суммарный объем продаж всех n-товарных позиций присутствующих на рынке генериков за определенный период в потребленных дозах, доз/период;
ЦУСД — средневзвешенная рыночная стоимость установленной суточной дозы генерика в группе препаратов с идентичными действующим веществом и дозировкой, независимо от № упаковки, грн./доза. Средняя внешняя референтная цена препарата иностранного производства рассчитывается по формуле:

где:
j ∈ [1,k] — количество референтных стран, принимаемых для расчета;
Ц iсп — текущая стоимость i-й товарной позиции генерика, присутствующего на украинском рынке, на внутреннем рынке страны происхождения, за исключением продукции украинских производителей — владельцев лицензии на производство аналогичного препарата в указанной стране, в пересчете на грн.;
ЦCC ik — текущая стоимость i-й товарной позиции указанного генерика на рынке k-й страны за определенный период в денежном выражении, за исключением продукции украинских производителей — владельцев лицензии на производство аналогичного препарата в указанной стране, в пересчете на грн.;
Ц iсп + Σ k j=1 ЦCC ik — арифметическая сумма текущей стоимости i-й товарной позиции указанного генерика в стране его происхождения и референтных стран, в пересчете на грн.;
k+1 — количество принимаемых в расчет стран, единиц;
СВРЦ — средняя цена на внешних рынках (внешняя референтная цена), рассчитанная для i-й товарной позиции генерика, присутствующего на рынке Украины, в пересчете на грн. Для пересчета СВРЦ i-й товарной позиции генерика на внешних рынках, с учетом дозировки и № упаковки, установленной суточной дозы, рекомендуемой ВОЗ, рассчитывается количество УСД в упаковке:
D уп. = Q ед. V д.в./УСД,
где:
D уп. — количество доз в упаковке;
V д.в. — объем действующего вещества в одной единице препарата (таблетке, ампуле и т.д.);
Q ед. — количество единиц лекарственного средства в упаковке;
УСД — установленная суточная доза, рекомендуемая ВОЗ.
Далее, делением СВРЦ на количество доз в упаковке определяем среднерыночную внешнюю цену установленной суточной дозы, рекомендуемой ВОЗ (внешнюю референтную цену установленной суточной дозы), ВРЦУСД:
ВРЦУСД = СВРЦ/D уп.
Предельная цена для внутреннего рынка Украины, по нашему мнению, может определяется как среднее арифметическое по формуле:
Црек. = (ЦУСД + ВРЦУСД)/2,
Таким образом, на основании:
- рекомендаций ВОЗ касательно установленной суточной дозы лекарственного средства;
- широко применяемых в международной практике инструментов внешнего (для препаратов зарубежного производства) и внутреннего референтного ценообразования;
- исключения продукции украинских производителей — владельцев лицензии на производство аналогичного препарата в определенной стране (референтной или стране происхождения зарубежного аналога), наличие которой потенциально может влиять на ситуацию на украинском рынке,
по нашему мнению, может определяться справедливая цена на препараты, исключающая влияние маркетинговых издержек, связанных с брэндированными препаратами, а также дифференциации количества действующего вещества и номера в упаковке. Однако, следует подчеркнуть, что описанная методика является исключительно нашей разработкой.
Пример предварительного расчета внутренних референтных цен для 9 молекул монокомпонентных генерических и брэндированных генериков, отобранных нами по итогам 2011 г. как наиболее потребляемых, представлен в табл. 1.
| Таблица 1 | Показатели розничной реализации для исследуемых молекул на украинском рынке |
| № з/п | Код АТС | МНН на рус. языке | МНН на англ. языке | УСД ВОЗ | Лекарственная форма и дозировка | Количество УСД потребленных генерических генериков | Объем реализации генерических генериков, тыс. грн. | Средневзвешенная розничная стоимость 1 УСД генерических генериков, грн. | Количество УСД потребленных брэндированных генериков | Объем реализации брэндированных генериков, тыс. грн. | Средневзвешенная розничная стоимость 1 УСД брэндированных генериков, грн. |
|---|---|---|---|---|---|---|---|---|---|---|---|
| І | Средства, действующие на ренин-ангиотензиновую систему | ||||||||||
| 1 | C09AA02 | Эналаприл | enalapril | 10 мг | табл., 2,5 мг | – | – | – | 1160735 | 1560 | 1,34 |
| табл., 5 мг | 439573 | 191 | 0,43 | 19157445 | 20957 | 1,09 | |||||
| табл., 10 мг | 82679380 | 21331 | 0,26 | 63242169 | 53910 | 0,82 | |||||
| табл., 20 мг | 1658038 | 324 | 0,20 | 38045721 | 25058 | 0,66 | |||||
| 2 | C09AA03 | Лизиноприл | lisinopril | 10 мг | табл., 2,5 мг | – | – | – | 190462 | 597 | 3,13 |
| табл., 5 мг | 3316671 | 5871 | 1,77 | 3398239 | 7176 | 2,11 | |||||
| табл., 10 мг | 16424298 | 18767 | 1,14 | 20631633 | 25411 | 1,23 | |||||
| табл., 20 мг | 10338469 | 9814 | 0,95 | 11172720 | 12468 | 1,12 | |||||
| ІІ | Диуретики | ||||||||||
| 3 | С03СА01 | Фуросемид | furosemide | 40 мг | табл. 40 мг | 68838646 | 5715 | 0,08 | – | – | – |
| р-р д/ин. 10 мг/мл амп. 2 мл | 1953561 | 2422 | 1,24 | – | – | – | |||||
| 4 | C03DA01 | Спиронолактон | spironolactone | 75 мг | табл. 25 мг | 376640 | 555 | 1,47 | 8135236 | 25296 | 3,11 |
| капс. 50 мг | – | – | – | 3995353 | 8251 | 2,07 | |||||
| капс. 100 мг | – | – | – | 2559835 | 3935 | 1,54 | |||||
| ІІІ | Блокаторы бета-адренорецепторов | ||||||||||
| 5 | C07AB07 | Бисопролол | bisoprolol | 10 мг | табл., 2,5 мг | 47408 | 86 | 1,81 | 581701 | 1299 | 2,23 |
| табл., 5 мг | 11138910 | 27696 | 2,49 | 8564911 | 16350 | 1,91 | |||||
| табл., 10 мг | 12242388 | 22921 | 1,87 | 8761942 | 13056 | 1,49 | |||||
| 6 | C07AB02 | Метопролол | metoprolol | 150 мг | табл. 12,5 мг | – | – | – | 7827 | 99 | 12,69 |
| табл. 25 мг | 42208 | 37 | 0,87 | 1309871 | 4314 | 3,29 | |||||
| табл. 50 мг | 2616921 | 1321 | 0,50 | 5949562 | 14109 | 2,37 | |||||
| табл. 100 мг | 1780756 | 778 | 0,44 | 4743766 | 7565 | 1,59 | |||||
| табл. 200 мг | 354 | 0,320 | 0,90 | – | – | – | |||||
| 7 | C07AB12 | Небиволол | nebivolol | 5 мг | табл. 2,5 мг | – | – | – | 268,161 | 0,793 | 2,96 |
| табл. 5 мг | 146,86 | 0,38 | 2,61 | 2526274 | 8079 | 3,20 | |||||
| IV | Антагонисты кальция | ||||||||||
| 8 | C08CA01 | Амлодипин | amlodipine | 5 мг | табл. 2,5 мг | – | – | – | 2078263 | 5861 | 2,82 |
| табл. 5 мг | 13107644 | 7388 | 0,56 | 18662464 | 34774 | 1,86 | |||||
| табл. 10 мг | 28516377 | 11884 | 0,42 | 15734620 | 21413 | 1,36 | |||||
| 9 | C08CA05 | Нифедипин | nifedipine | 30 мг | крап. орал. 2 % | – | – | – | 5330907 | 4305 | 0,81 |
| табл. 10 мг | 1811274 | 672 | 0,37 | 15896138 | 6919 | 0,44 | |||||
| табл. 20 мг | 237760,9 | 35,9 | 0,15 | 4812791 | 10535 | 2,19 | |||||
| табл. 30 мг | – | – | – | 239053 | 308 | 1,29 | |||||
| табл. 40 мг | – | – | – | 1988523 | 2929 | 1,47 | |||||
| табл. 60 мг | – | – | – | 476842 | 493 | 1,03 | |||||
В.Б.: Да, можем. Мы взяли за основу группу препаратов эналаприла, занимающих лидирующие позиции в структуре потребления УСД для лечения артериальной гипертензии. Расчеты, базирующиеся на методиках внутреннего и внешнего референтного ценообразования представлены в табл. 2–4. При этом при оценке ситуации на внешних рынках мы столкнулись с тем, что генерические генерики там фактически отсутствуют. Поэтому в наших дальнейших расчетах мы сравнивали только брэндированные генерики с применением методики внешнего ценообразования. Таким образом, в Украине средняя стоимость УСД для брэндированного генерика эналаприла, 10 мг, рассчитанная по методике внешнего ценообразования (0,537 грн. / УСД), должна быть на 52% дешевле цены, отмечаемой на внутреннем рынке Украины (0,816 грн. / УСД).
| Таблица 2 | Расчет средневзвешенной стоимости генерических препаратов эналаприла, таблетки в дозе 10 мг, в 2011 г. |
| № п/п | Полное наименование | Объем розничной реализации, упаковок | Средневзвешенная стоимость 1 упаковки, грн. | Объем розничной реализации, тыс. грн. | Количество потребленных УСД | Средневзвешенная стоимость 1 УСД, грн. |
|---|---|---|---|---|---|---|
| 1 | ЭНАЛАПРИЛ, Agio Pharmaceuticals (Индия), табл. 10 мг, № 20 | 6843 | 3,12 | 21,364 | 136869 | 0,156 |
| 2 | ЭНАЛАПРИЛ-ДАРНИЦА, Дарница (Украина), табл. 10 мг контурн. ячейк. уп., № 20 | 73391 | 3,60 | 263,962 | 1467812 | 0,180 |
| 3 | ЭНАЛАПРИЛ, Лубныфарм (Украина), табл. 0,01 г блистер, № 20 | 3157 | 3,86 | 12,171 | 63132 | 0,193 |
| 4 | ЭНАЛАПРИЛ, Озон (Россия), табл. 10 мг, № 20 | 214 | 4,08 | 0,874 | 4285 | 0,204 |
| 5 | ЭНАЛАПРИЛ-АСТРАФАРМ, Астрафарм (Украина), табл. 10 мг, № 20 | 31512 | 4,15 | 130,850 | 630246 | 0,208 |
| 6 | ЭНАЛАПРИЛ, Красная звезда (Украина), табл. 0,01 г блистер, № 20 | 16720 | 4,27 | 71,417 | 334406 | 0,214 |
| 7 | ЭНАЛАПРИЛ, Лекхим (Украина), табл. 0,01 г блистер, № 20 | 130 | 4,88 | 0,635 | 2605 | 0,244 |
| 8 | ЭНАЛАПРИЛ-ЗДОРОВЬЕ, Здоровье Группа компаний (Украина), табл. 10 мг контурн. ячейк. уп., № 20 | 3911829 | 5,19 | 20292,805 | 78236584 | 0,259 |
| 9 | ЭНАЛАПРИЛ-НОРТОН, Norton (Канада), табл. 10 мг блистер, № 20 | 5524 | 5,35 | 29,560 | 110472 | 0,268 |
| 10 | ЭНАЛАПРИЛ, Артериум Корпорация (Украина), табл. п/о 0,01 г блистер, № 20 | 84648 | 5,99 | 506,994 | 1692970 | 0,299 |
| ВСЕГО | 21331 | 82679380 | 0,258 |
| Таблица 3 | Расчет средневзвешенной стоимости брэндированных препаратов эналаприла, таблетки в дозе 10 мг, в 2011 г. |
| Полное наименование | Средневзвешенная стоимость 1 упаковки, грн. | Средневзвешенная стоимость 1 упаковки, грн. | Количество потребленных УСД | Объем розничной реализации, тыс. грн. | Объем розничной реализации, упаковок |
|---|---|---|---|---|---|
| ЭНАМ, Dr. Reddy’s (Индия), табл. 10 мг, № 20 | 0,45 | 9,1 | 4785998 | 2175 | 239300 |
| ЭНАЛОЗИД® МОНО, Фармак (Украина), табл. 10 мг, № 20 | 0,47 | 9,4 | 2289095 | 1076 | 114455 |
| БЕРЛИПРИЛ® 10, Berlin-Chemie/Menarini Group (Германия), табл. 10 мг, № 30 | 0,77 | 23,2 | 33066397 | 25616 | 1102213 |
| ЭНА САНДОЗ®, Sandoz (Швейцария), табл. 10 мг, № 30 | 0,78 | 23,4 | 37760 | 29 | 1259 |
| ЭНАП®, KRKA (Словения), табл. 10 мг, № 20 | 0,98 | 19,7 | 23062919 | 22692 | 1153146 |
| Всего | 63242169 | 51590 | 0,816 |
| Таблица 4 | Расчетная стоимость УСД для препарата эналаприл, табл. 10 мг в референтных странах на основе данных из официальных открытых источников |
| Страна | Стоимость 1 УСД эналаприла, табл. 10 мг, в национальной валюте страны (без НДС) | Стоимость 1 УСД эналаприла табл. 10 мг, грн. |
|---|---|---|
| Польша | 0,185 PLN | 0,473 |
| Словакия | 0,066 EUR | 0,692 |
| Латвия | 0,47 LVL | 0,701 |
| Молдова | 0,56 MDL | 0,377 |
| Болгария | 0,082 BGN | 0,442 |
Итак, наши расчеты показали, что за счет внедрения внешней референтной цены на брэндированные генерики только эналаприла, 10 мг, экономия для пациентов составит 17,4 млн грн.
ВЫВОДЫ
В настоящей статье представлено видение Государственной службы лекарственных средств Украины касательно возможного применения механизмов референтного ценообразования на украинском фармацевтическом рынке. По мнению Гослекслужбы, использование такого подхода позволит:
- определять справедливую цену на лекарственные средства, исключающую влияние маркетинговых издержек, связанных с брэндированными лекарствами, а также дифференциации количества действующего вещества и номера в упаковке, при котором будет стимулироваться повышение ценовой доступности лекарств;
- максимально возможно обеспечить социально незащищенные слои населения современными генерическими препаратами по справедливым ценам;
- сформировать надежную, простую и эффективную систему государственного контроля и регулирования цен на лекарственные средства.
Коментарі
Коментарі до цього матеріалу відсутні. Прокоментуйте першим