Госпітальні закупівлі 2020. Національний перелік. Реімбурсація
У ході вебінару спікер детально розглянув актуальні для фармринку теми, зокрема старт медичної реформи вторинного рівня та високоспеціалізованої допомоги, централізовані та регіональні закупівлі лікарських засобів, Національний перелік, реімбурсацію, тощо.
Робота під час пандемії COVID-19: як змінився ринок праці фахівців фармацевтичної галузі під час карантину?
Опитування поводилося з 22 до 26 квітня 2020 р. серед компаній різного розміру (від маленьких до великих) та спеціалізації (від виробників до дистриб’юторів*). А відповіді надавали різні фахівці — від власників компаній до HR
Топ-10 препаратів з найбільшим потенціалом до зростання у 2020 р.
Слід зазначити, що серед лідерів рейтингу є і бренди, які вже давно присутні на ринку (як Revlimid), так і препарати, які з’явилися нещодавно (серед них — Ozempic, Biktarvy та Ocrevus)
COVID-19: фармринок on-line
Після другого етапу пом’якшення карантинних обмежень та запуску роботи пасажирського транспорту ринок начебто почав відновлюватися. Однак з початком нового тижня темпи спаду знову прискорилися
Переживемо карантин: ключові індикатори розвитку фарміндустрії у квітні 2020 р.
Фармацевтичний ринок переживає суттєве зменшення обсягів споживання товарів «аптечного кошика» порівняно з аналогічним періодом минулого року. Введення обмежувальних заходів позначилося й на сфері промоції
Станет ли вакцина золотым ключиком в победе над COVID-19: самый полный и подробный обзор
Три основных достижения медицины — это антисептики, антибиотики и вакцины, которые спасли миллиарды жизней от разнообразных опасных инфекций. Вакцина считается единственным средством для окончательной победы над COVID-19, в ее отсутствие не ожидается никакого возвращения к нормальной жизни докарантинного уровня. Поиск эффективной вакцины является неотложным приоритетом для общественного здравоохранения. Если иммунитет к коронавирусу приобретет достаточное количество людей, инфекция не сможет эффективно […]
Boehringer Ingelheim має намір розширити портфель імуноонкологічних препаратів та купує Northern Biologics
Німецька фармацевтична компанія Boehringer Ingelheim оголосила про поглинання дочірньої компанії Northern LP — Northern Biologics, яка спеціалізується на розробці лікарських засобів на основі моноклональних антитіл, що діють на мікросередовище пухлини. При цьому Northern Biologics зберігає своє ім’я і продовжить працювати над певними доклінічними дослідженнями, а Boehringer Ingelheim відповідатиме за клінічну розробку, розробку реєстраційної документації та комерційний розвиток отриманих програм. Один […]
Спасать людей или экономику? Исследование
«В публичной дискуссии о дальнейших действиях по борьбе с пандемией COVID-19 интересы охраны здоровья часто противопоставляют экономическим», — отметили исследователи, оценившие экономические издержки вследствие ограничений и эффект проблем, возникающих при крайнем их ослаблении. Противопоставлять одно другому точно не следует, заключили авторы. Общий вывод из их исследования такой, что если отказаться от большинства мер по сдерживанию пандемии, экономические потери будут на уровне […]
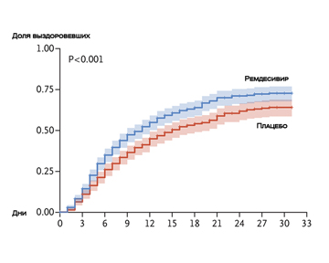
Ремдесивир ускоряет выздоровление при COVID-19
В рандомизированном двойном слепом исследовании с участием 1063 взрослых, госпитализированных с COVID-19, 10-дневный курс внутривенного введения ремдесивира превосходил плацебо в сокращении времени до выздоровления. Показатели летальности через 14 дней составили 7,1% в группе ремдесивира и 11,9% — в группе плацебо. Авторы пришли к выводу, что ремдесивир превосходил плацебо в сокращении времени до выздоровления у взрослых, госпитализированных с COVID-19 и проявлениями со стороны нижних дыхательных путей. Рисунок Схематическое […]
FDA разрешило применение препарата для терапии недержания мочи у детей с 2-летнего возраста
Управление по контролю за пищевыми продуктами и лекарственными средствами США (Food and Drug Administration — FDA) 26 мая выдало компании «Astellas Pharma US, Inc.» разрешение на маркетинг препарата в форме пероральной суспензии VESIcare LS (солифенацин сукцинат) для лечения нейрогенной гиперактивности детрузора (НГД) — формы дисфункции мочевого пузыря у детей в возрасте 2 лет и старше. Таблетки солифенацина сукцината были первоначально одобрены […]









