ПОВІДОМЛЕННЯ
про оприлюднення проекту МОЗ України «Про затвердження Порядку розрахунку граничного рівня оптово-відпускних цін на препарати інсуліну на основі порівняльних (референтних) цін на такі препарати»
Міністерство охорони здоров’я України повідомляє про оприлюднення проекту МОЗ України «Про затвердження Порядку розрахунку граничного рівня оптово-відпускних цін на препарати інсуліну на основі порівняльних (референтних) цін на такі препарати» який розроблено на виконання підпункту 1 пункту 3 постанови Кабінету Міністрів України від 14 серпня 2013 року № 732 «Про реалізацію пілотного проекту щодо запровадження державного регулювання цін на препарати інсуліну» та доопрацьовано з урахуванням зауважень наданих Міністерством економічного розвитку і торгівлі України.
Проект наказу, аналіз регуляторного впливу, повідомлення про оприлюднення проекту розміщено на сайті Міністерства охорони здоров’я України.
Зауваження та пропозиції приймаються у письмовому або електронному вигляді до 12.12.2013 року на адресу:
Міністерства охорони здоров’я України 01021, Київ, вул. М. Грушевского, 7; тел.: (044) 200-07-93, контактна особа: Сандуленко Н.В. e-mail:[email protected].
Державної служби України з питань регуляторної політики та розвитку підприємництва 01011, м. Київ, вул. Арсенальна, 9/11, e-mail:[email protected].
ПОЯСНЮВАЛЬНА ЗАПИСКА
до проект наказу МОЗ України «Про затвердження Порядку розрахунку граничного рівня оптово-відпускних цін на препарати інсуліну на основі порівняльних (референтних) цін на такі препарати»
1. Обґрунтування необхідності прийняття постанови
29 жовтня 2013 року набрала чинність постанова Кабінету Міністрів України від 14 серпня 2013 року № 732 «Про реалізацію пілотного проекту щодо запровадження державного регулювання цін на препарати інсуліну», якою передбачено запровадження з 1 грудня 2013 року реалізацію пілотного проекту щодо запровадження державного регулювання цін на препарати інсуліну.
У місячний термін з дня набрання чинності цієї постанови МОЗ України необхідно затвердити порядок розрахунку граничного рівня оптово-відпускних цін на препарати інсуліну за погодженням з Міністерством економічного розвитку і торгівлі та Антимонопольним комітетом.
Проектом наказу МОЗ України «Про затвердження Порядку розрахунку граничного рівня оптово-відпускних цін на препарати інсуліну на основі порівняльних (референтних) цін на такі препарати» передбачено затвердити порядок розрахунку граничного рівня оптово-відпускних цін на препарати інсуліну з використанням механізму зовнішнього реферування цін та з врахуванням цін, що склалися в Україні.
Проект наказу МОЗ України «Про затвердження Порядку розрахунку граничного рівня оптово-відпускних цін на препарати інсуліну на основі порівняльних (референтних) цін на такі препарати» (далі — проект наказу МОЗ України) розроблено з метою виконання підпункту 1 пункту 3 постанови Кабінету Міністрів України від 14 серпня 2013 року № 732 «Про реалізацію пілотного проекту щодо запровадження державного регулювання цін на препарати інсуліну» та доопрацьовано з урахуванням зауважень Міністерства економічного розвитку і торгівлі.
2. Мета і шляхи її досягнення
Метою проект наказу МОЗ України є виконання підпункту 1 пункту 3 постанови Кабінету Міністрів України від 14 серпня 2013 року № 732 «Про реалізацію пілотного проекту щодо запровадження державного регулювання цін на препарати інсуліну».
Шляхами досягнення мети є прийняття проекту наказу МОЗ України.
3. Правові аспекти
У даній сфері суспільних відносин діють:
Закон України «Про ціни і ціноутворення»;
постанова Кабінету Міністрів України від 14 серпня 2013 року № 732 «Про реалізацію пілотного проекту щодо запровадження державного регулювання цін на препарати інсуліну».
4. Фінансово-економічне обґрунтування
Введення в дію вимог цього наказу не потребує додаткових витрат з державного бюджету.
5. Позиція заінтересованих органів
Проект постанови потребує погодження з Міністерством економічного розвитку та торгівлі України, Антимонопольним комітетом України, Державною службою України з питань регуляторної політики та розвитку підприємництва, Міністерством юстиції України.
6. Регіональний аспект
Проект наказу не стосується розвитку територіально-адміністративних одиниць.
61. Запобігання дискримінації
У проекті наказу відсутні положення, які містять ознаки дискримінації.
7. Запобігання корупції
Проект наказу не містить ризики вчинення корупційних правопорушень.
8. Громадське обговорення
Проект наказу розміщено на офіційному сайті Міністерства охорони здоров’я України — http://www.moz.gov.ua. для громадського обговорення.
9. Позиція соціальних партнерів
Проект наказу не стосується соціально-трудової сфери.
10. Оцінка регуляторного впливу
Проект наказу є регуляторним актом. Прийняття наказу дозволить виконати підпункт 1 пункту 3 постанови Кабінету Міністрів України від 14 серпня 2013 року № 732 «Про реалізацію пілотного проекту щодо запровадження державного регулювання цін на препарати інсуліну».
11. Прогноз результатів
Прийняття наказу дозволить:
- затвердити порядок, за яким буде здійснено розрахунок для встановлення граничного рівня оптово-відпускних цін на препарати інсуліну на основі порівняльних (референтних) цін на такі препарати;
- забезпечити населення України, в тому числі і в сільській місцевості, доступними препаратами для лікування осіб хворих на діабет.
| Заступник Міністра | О. Толстанов |
Проект
оприлюднено на сайті МОЗ України 25.11.2013 р.
МІНІСТЕРСТВО ОХОРОНИ ЗДОРОВ’Я УКРАЇНИ
НАКАЗ
Про затвердження Порядку розрахунку граничного рівня оптово-відпускних цін на препарати інсуліну на основі порівняльних (референтних) цін на такі препарати
Відповідно до пункту 3.1 постанови Кабінету Міністрів України від 14.08.2013 № 732 «Про реалізацію пілотного проекту щодо запровадження державного регулювання цін на препарати інсуліну» та відповідно до Положення про Міністерство охорони здоров’я України, затвердженого Указом Президента України від 13.04.2011 № 467,
НАКАЗУЮ:
1. Затвердити Порядок розрахунку граничного рівня оптово-відпускних цін на препарати інсуліну на основі порівняльних (референтних) цін на такі препарати.
2. Управлінню лікарських засобів та медичної продукції забезпечити подання цього наказу на державну реєстрацію до Міністерства юстиції України.
3. Контроль за виконанням цього наказу покласти на заступника Міністра — керівника апарату Р. Богачева.
4. Цей наказ набирає чинності з дня його офіційного опублікування.
| Міністр | Р.В. Богатирьова |
ЗАТВЕРДЖЕНО
Наказ Міністерства охорони
здоров’я України
ПОРЯДОК
розрахунку граничного рівня оптово-відпускних цін на препарати інсуліну на основі порівняльних (референтних) цін на такі препарати
І. Загальні положення
1.1. Цей Порядок визначає механізм розрахунку граничного рівня оптово-відпускних цін на препарати інсуліну з використанням механізму зовнішнього реферування цін та на основі задекларованих оптово-відпускних цін, що склалися в Україні.
1.2. Дія Порядку поширюється на препарати інсуліну, що зареєстровані в Україні, за загальноприйнятою назвою Інсулін, з відповідним дозуванням, формою випуску та упаковкою, перелік яких наведено в додатку до постанови Кабінету Міністрів України від 14 серпня 2013 року № 732 «Про реалізацію пілотного проекту щодо запровадження державного регулювання цін на препарати інсуліну» (далі — Постанова).
1.3. Відповідно до переліку міжнародних непатентованих або загальноприйнятих назв лікарських засобів, на які поширюється дія Постанови (далі — Перелік МНН), Міністерство охорони здоров’я України (далі — МОЗ України) формує перелік торговельних назв лікарських засобів, що внесені до Державного реєстру лікарських засобів України (далі — Перелік ТН).
1.4. У цьому Порядку терміни вживаються у такому значенні:
граничний рівень оптово-відпускної ціни на препарат інсуліну — оптово-відпускна ціна упаковки лікарського засобу, розрахована для кожної сили дії з урахуванням кількості одиниць та форми випуску у первинній упаковці кожного лікарського засобу (з розрахунку на міжнародну одиницю активності) з Переліку ТН з використанням механізму зовнішнього реферування цін та на основі задекларованих оптово-відпускних цін, що склалися в Україні;
задекларована оптово-відпускна ціна на лікарський засіб — оптово-відпускна ціна на лікарський засіб, що внесена до реєстру оптово-відпускних цін на лікарські засоби та вироби медичного призначення;
інтервал цін — діапазон цін, визначений як критичне відхилення від середнього значення оптово-відпускних цін у референтних країнах (за виключенням значень, які не входять до інтервалу цін розрахованого за формулою 3);
критичне відхилення — показник розбіжності цін відносно їх середнього значення;
міжнародна одиниця активності (МО) — одиниця вимірювання сили дії лікарського засобу, що ґрунтується на його біологічній активності;
оптово-відпускна ціна зовнішнього реферування — середнє значення оптово-відпускних цін кожної сили дії з урахуванням кількості одиниць та форми випуску у первинній упаковці кожного препарату інсуліну з Переліку ЛЗ у референтних країнах;
перелік ЛЗ — перелік торговельних назв лікарських засобів, наявних на ринку референтної країни, що відповідає за міжнародною непатентованою або загальноприйнятою назвою Переліку МНН;
середнє значення цін — відношення суми значень цін на лікарські засоби до їх кількості.
1.5. Зовнішнє реферування здійснюється за даними офіційних джерел уповноважених державних органів у Республіці Молдові, Турецькій Республіці, Російській Федерації, Республіці Албанії, Румунії, Республіці Болгарії.
1.5.1. У разі коли відповідний препарат не представлений на ринку в зазначених державах, або представлений на ринку менш ніж у трьох державах, зовнішнє реферування здійснюється за даними офіційних джерел уповноважених державних органів в Угорщині, Литовській Республіці, Латвійській Республіці, Чеській Республіці, Словацькій Республіці, Республіці Польщі.
1.5.2. Офіційні джерела уповноважених державних органів в референтних країнах, види зареєстрованих цін і валют в референтних країнах, а також періодичність оновлення даних наведені у додатку до цього Порядку.
1.6. Граничні рівні оптово-відпускних цін на препарати інсуліну установлюються у валюті України.
Перерахування цін на препарати з іноземних валют референтних країн у валюту України здійснюється за офіційним курсом, встановленим Національним банком України на 01 грудня відповідного року.
ІІ. Визначення граничного рівня оптово-відпускних цін
2.1. Граничний рівень оптово-відпускних цін на препарати інсуліну (ГрОВЦ) визначається для кожної сили дії з урахуванням кількості одиниць та форми випуску у первинній упаковці (з розрахунку на міжнародну одиницю активності) кожного препарату інсуліну з Переліку ТН, як середнє значення між мінімальним значенням інтервалу цін, отриманого шляхом зовнішнього реферування (min(I), та задекларованою оптово-відпускною ціною в Україні (ОВЦд).

2.2. Середнє значення ціни для кожної сили дії з урахуванням кількості одиниць та форми випуску у первинній упаковці (з розрахунку на міжнародну одиницю активності) кожного препарату інсуліну з Переліку ЛЗ (X j i) по кожній референтній країні окремо (Хі) визначається, як:

де і — референтна країна;
n j — кількість препаратів, використаних при розрахунку середнього значення ціни.
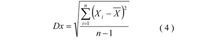
2.3. Інтервал цін (І) розраховується за допомогою критичного відхилення (Dx) за формулою:

2.4. Критичне відхилення (Dx) від середнього значення оптово-відпускних цін кожної сили дії з урахуванням кількості одиниць та форми випуску у первинній упаковці кожного препарату інсуліну з Переліку ЛЗ кожної референтної країни розраховується за формулою:

Xi — середнє значення оптово-відпускної ціни кожної сили дії з урахуванням кількості одиниць та форми випуску у первинній упаковці кожної з референтної країни;
X — середнє значення оптово-відпускних цін кожної сили дії з урахуванням кількості одиниць та форми випуску у первинній упаковці кожного препарату інсуліну з Переліків ЛЗ з усіх референтних країн;
n — кількість референтних країн, інформація стосовно ціни кожної сили дії з урахуванням кількості одиниць та форми випуску у первинній упаковці кожного препарату інсуліну з Переліку МНН врахована у розрахунках.
2.5. За умови трьох або більше значень оптово-відпускних цін кожної сили дії кожного препарату інсуліну з Переліку ЛЗ з усіх референтних країн, граничний рівень оптово-відпускних цін визначається як середнє значення між мінімальним значенням з інтервалу таких цін та задекларованою оптово-відпускною ціною в Україні.
2.6. За умови відсутності трьох або більше значень оптово-відпускних цін кожної сили дії кожного препарату інсуліну з Переліку ЛЗ з усіх референтних країн та задекларованої оптово-відпускної ціни, граничний рівень оптово-відпускних цін визначається як середнє значення між мінімальним значенням з таких цін та задекларованою оптово-відпускною ціною в Україні.
2.7. Для подальшого розрахунку використовуються значення оптово-відпускних цін кожної сили дії з урахуванням кількості одиниць та форми випуску у первинній упаковці (з розрахунку на міжнародну одиницю активності) кожного препарату інсуліну з Переліку МНН з усіх основних (додаткових) референтних країн з урахуванням інтервалу цін.
2.8. Граничний рівень оптово-відпускних цін на препарати інсуліну кожної сили дії з урахуванням кількості одиниць та форми випуску у первинній упаковці (з розрахунку на міжнародну одиницю активності) кожної первинної упаковки кожного препарату інсуліну з Переліку ТН вноситься до реєстру граничного рівня оптово-відпускних цін на препарати інсуліну та оприлюднюється на офіційному веб-сайті МОЗ України (http://www.moz.gov.ua).
| Директор Департаменту з питань якості медичної та фармацевтичної допомоги |
Т. Донченко |
Додаток
до Порядку розрахунку граничного рівня оптово-
відпускних цін на препарати інсуліну на основі
порівняльних (референтних) цін на такі препарати
Офіційні джерела уповноважених державних органів в референтних країнах,
види зареєстрованих цін і валют в референтних країнах, а також періодичність оновлення даних
| Країна | Офіційні джерела уповноважених державних органів | Уповноважені державні органи | Зареєстровані ціни у референтних країнах, національна валюта | Періодичність оновлення даних |
| Республіка Молдови | http://www.ms.gov.md/ministry/cat/catalog/(Catalogul national de preturi de producator la medicamente) | Міністерство охорони здоров’я Молдови | Ціна виробника (exworks), молдовські леї | Дані оновлюються 1 раз на 2 тижні |
| Турецька Республіка | http://www.iegm.gov.tr/Default.aspx?sayfa=fiyat_listesiзавантажити İlaç Fiyat Listesi | Міністерство охорони здоров’я Туреччини | Оптово-відпускна ціна без ПДВ, турецька ліра | Дані оновлюються постійно |
| Російська Федерація | http://www.grls.rosminzdrav.ru/pricelims.aspx?s(пошукова система або завантажити одним файлом в файле XLS) | Федеральна служба по нагляду в сфері охорони здоров’я та соціального розвитку | Гранична оптово-відпускна ціна без ПДВ, російські рублі | Дані оновлюються щомісячно |
| Республіка Албанія | http://www.moh.gov.al/index.php/farmaceutika/444-farmaceutikaфайл Lista me cmimet e barnav e të regjistruara për vitin 2012 me rimbursim.pdf (Update 24.05.2012) | Міністерство охорони здоров’я Республіки Албанії | Оптово-відпускна ціна, євро, долар США | Дані оновлюється 1 раз в на рік |
| Румунія | http://www.msf-dgf.ro/msf-dgf28/download.htmCatalog editia 1 ianuarie 2012, format XLS | Міністерство охорони здоров’я Румунії | Ціна виробника (exworks), румунський лей | Дані оновлюються 1 раз на 2 місяці |
| Республіка Болгарія | http://www.mh.government.bg/Articles.aspx?lang=bg-BG&pagied=491&categoryid=4553 (приложение 4) | Міністерство охорони здоров’я Болгарії | Заявлена ціна виробника, болгарські леви | Дані оновлюються 1 раз на 2 тижні |
| Угорщина | http://www.oep.hu/portal/page?_pageid=35,45559597&_dad=portal&_schema=PORTAL(Turnover and reimbursement data per product) | Національний фонд охорони здоров’я Угорщини | Ціна виробника (exfactory), угорські форинти | Дані оновлюються щомісячно |
| Литовська Республіка | http://www.sam.lt/go.php/lit/Apie_kompensuojamuosius_vaistus_ir_medic/11582013 m. Kompensuojamųjų vaistinių preparatų kainyno projektas (paskelbtas 2013 m. vasario 19 d.) | Міністерство охорони здоров’я Литовської Республіки | Декларована ціна, литовський літ | Дані оновлюються щомісячно |
| Латвійська Республіка | http://vec.gov.lv/lv/kompensejamie-medikamenti/kompensejamo-zalu-saraksts(Kompensejamo zalu A un B saraksts no 2012.gada 18.aprila) | Національна служба охорони здоров’я Латвії | Референтна ціна, лат | Дані оновлюється 1 раз в півроку |
| Чеська Республіка | http://www.olecich.cz/modules/medication/(пошукова система) | Державний інститут з контролю за лікарськими засобами | Ціна виробника (exfactory), чеські крони | Дані оновлюю онов щодекадно |
| Словацька Республіка | http://www.health.gov.sk/Clanok?zoznamy-uradne-urcenych-cien-od-1-1-2012Zoznamyъradneurиenэchcienod | Міністерство охорони здоров’я Словацької Республіки | Офіційно визначена ціна виробника, євро | Дані оновлюю онов щомісячно |
| Республіка Польща | http://www.mz.gov.pl/wwwmz/index?mr=q491&ms=383&ml=pl&mi=383&mx=0&mt=&my=419&ma=19077(plik nr 1) | Міністерство охорони здоров’я Республіки Польща | Офіційна оптово-відпускна ціна, польські злоті | Дані затверджуються щороку, при цьому доповнюються 1 раз на 2 місяці |
АНАЛІЗ РЕГУЛЯТОРНОГО ВПЛИВУ
до проект наказу МОЗ України «Про затвердження Порядку розрахунку граничного рівня оптово-відпускних цін на препарати інсуліну на основі порівняльних (референтних) цін на такі препарати»
1. Опис проблеми
29 жовтня 2013 року набрала чинність постанова Кабінету Міністрів України від 14 серпня 2013 року № 732 «Про реалізацію пілотного проекту щодо запровадження державного регулювання цін на препарати інсуліну», якою передбачено запровадження з 1 грудня 2013 року реалізацію пілотного проекту щодо запровадження державного регулювання цін на препарати інсуліну.
У місячний термін з дня набрання чинності цієї постанови МОЗ України необхідно затвердити порядок розрахунку граничного рівня оптово-відпускних цін на препарати інсуліну за погодженням з Міністерством економічного розвитку і торгівлі та Антимонопольним комітетом.
Проектом наказу МОЗ України «Про затвердження Порядку розрахунку граничного рівня оптово-відпускних цін на препарати інсуліну на основі порівняльних (референтних) цін на такі препарати» передбачено затвердити порядок розрахунку граничного рівня оптово-відпускних цін на препарати інсуліну з використанням механізму зовнішнього реферування цін та з врахуванням цін, що склалися в Україні.
Проект наказу МОЗ України «Про затвердження Порядку розрахунку граничного рівня оптово-відпускних цін на препарати інсуліну на основі порівняльних (референтних) цін на такі препарати» (далі — проект наказу МОЗ України) розроблено з метою виконання підпункту 1 пункту 3 постанови Кабінету Міністрів України від 14 серпня 2013 року № 732 «Про реалізацію пілотного проекту щодо запровадження державного регулювання цін на препарати інсуліну».
2. Цілі і завдання прийняття пропонованого акта
Метою проект наказу МОЗ України є виконання підпункту 1 пункту 3 постанови Кабінету Міністрів України від 14 серпня 2013 року № 732 «Про реалізацію пілотного проекту щодо запровадження державного регулювання цін на препарати інсуліну».
Шляхами досягнення мети є прийняття проекту наказу МОЗ України.
3. Оцінка альтернативних способів досягнення зазначених цілей
Альтернативні способи досягнення зазначених цілей відсутні.
4. Опис механізмів і заходів для вирішення проблеми
Проектом наказу МОЗ України «Про затвердження Порядку розрахунку граничного рівня оптово-відпускних цін на препарати інсуліну на основі порівняльних (референтних) цін на такі препарати» передбачено затвердити порядок розрахунку граничного рівня оптово-відпускних цін на препарати інсуліну з використанням механізму зовнішнього реферування цін та з врахуванням цін, що склалися в Україні з метою виконання підпункту 1 пункту 3 постанови Кабінету Міністрів України від 14 серпня 2013 року № 732 «Про реалізацію пілотного проекту щодо запровадження державного регулювання цін на препарати інсуліну».
5. Обґрунтування можливості досягнення визначених цілей у разі прийняття регуляторного акту.
З прийняттям цього наказу буде затверджено порядок, за яким буде здійснено розрахунок для встановлення граничного рівня оптово-відпускних цін на препарати інсуліну на основі порівняльних (референтних) цін на такі препарати, що дасть можливість забезпечити населення України, в тому числі і в сільській місцевості, доступними препаратами для лікування осіб хворих на діабет.
6. Очікувані результати
| Витрати | Вигоди | |
|---|---|---|
| Держава | Не передбачається | Зниження цін на препарати інсуліну, які будуть закуповуються за кошти місцевих бюджетів |
| Суб’єкт господарювання | Суб’єкти господарювання повинні будуть встановити ціни на рівні встановлених МОЗ України розрахованих відповідно до порядку запропонованого цим проектом наказу | |
| Населення | Не передбачається | Забезпечення населення України, в тому числі і в сільські місцевості препаратами інсуліну для лікування хворих на діабет |
7. Строк дії регуляторного акта
Термін дії проекту наказу, необмежений, але до того моменту поки не будуть внесені відповідні зміни до нормативно правових актів вищої юридичної сили на виконання яких розроблений проект постанови.
8. Показники результативності акту
Розмір надходження до державних та місцевих бюджетів від дії регуляторного акту не передбачається.
1) кількість суб’єктів господарювання та або фізичних осіб на яких поширюватиметься дія акта — дія цього проекту постанови поширюється на усі суб’єкти господарювання, які є виробниками препаратів інсуліну.
2) не передбачається додаткових коштів і час що витрачатимуть суб’єкти господарювання та або фізичні особи пов’язаний з виконанням вимог акта;
3) рівень поінформованості суб’єктів господарювання та або фізичних осіб з основних положень акта — середній так як проект наказу оприлюднено на офіційному сайті МОЗ України — http://www.moz.gov.ua.
Після прийняття наказу, він буде забезпечений його офіційним оприлюдненням на сторінках веб — сайту Кабінету Міністрів України — http://www.kmu.gov.ua, на сайті Верховної Ради України, в Офіційному віснику України.
9. Заходи для відстеження результативності акта
Відстеження результативності регуляторного акту буде здійснюватися по показниках результативності цього регуляторного акта.
Базове відстеження здійснюється до набрання чинності цього наказу шляхом опрацювання зауважень та пропозицій висловлених під час громадського обговорення.
Повторне відстеження — буде здійснено через рік після набрання чинності цього регуляторного акту шляхом аналізу показників результативності акту.
| Заступник Міністра | О. Толстанов |
Коментарі
Коментарі до цього матеріалу відсутні. Прокоментуйте першим